剥离的六方氮化硼纳米片增强聚丙烯复合材料的性能研究
剥离的六方氮化硼纳米片增强聚丙烯复合材料的性能研究
一、介绍
本文隶属于微射流均质机应用专题,全文共 11500字,阅读大约需要 40 分钟。
摘要
本研究通过微射流均质法制备了剥离型六方氮化硼纳米片(e-hBN),并利用熔融挤出技术将其与聚丙烯(PP)复合。结果表明,e-hBN在PP基体中的均匀分散是关键,它能显著提升复合材料的多项性能:在均聚PP(HP)中,e-hBN同时增强了材料的拉伸强度和韧性;对于抗冲共聚PP(IP),其机械性能改善有限,但所有复合材料的抗氧化稳定性均因e-hBN的屏障作用而大幅提高,热老化后的羰基指数明显降低。此外,e-hBN的加入还提高了复合材料的热导率。综上所述,e-hBN是一种能有效赋予PP复合材料更优综合性能的多功能纳米填料。
关键词
剥离六方氮化硼;微射流均质机;聚丙烯复合材料;导热性;机械性能;氧化稳定性

二、整体框架


术语解释
| 缩写/英文术语 | 中文名称 | 定义与特性 |
|---|---|---|
|
PP Polypropylene |
聚丙烯 | 一种通用热塑性塑料,具有良好的耐化学性、电绝缘性和加工性能,广泛用于包装、汽车、电子电器等领域 |
|
HP Homopolymer PP |
均聚聚丙烯 | 由纯丙烯单体聚合而成,分子链规整,结晶度高,具有高刚度、高强度的特点,但抗冲击性较差 |
|
IP Impact Copolymer PP |
抗冲共聚聚丙烯 | 在聚丙烯中引入乙烯橡胶相,显著提高韧性和抗冲击性,适用于需要承受冲击的场合 |
|
h-BN Hexagonal Boron Nitride |
六方氮化硼 | 二维层状材料,结构与石墨相似,具有优异的导热性和电绝缘性,被称为"白色石墨" |
|
e-hBN Exfoliated h-BN |
剥离六方氮化硼 | 通过物理或化学方法将h-BN层间距离大幅撑开,形成蓬松多孔结构,比表面积显著增大,分散性更好 |
三、引言
本研究旨在通过引入e-hBN来解决聚丙烯材料固有的热导率低、抗氧化性差和机械强度不足等局限性。与传统填料相比,h-BN虽具备高导热和绝缘的独特组合,但其在聚合物基体中的分散性差是关键挑战。本研究的创新之处在于系统性地探究了剥离工艺对h-BN在PP基体中分散效果的影响,并重点评估这种e-hBN对复合材料热、机械及长期抗氧化性能的增强作用,以此填补该领域的研究空白。
四、基本流程
| 环节 | 核心步骤 | 关键细节与参数 |
|---|---|---|
| 材料准备 | 原材料 |
- h-BN: 日本Denka - 聚合物: LyondellBasell 提供的PP(HP 与 IP) - 溶剂与分散剂: NMP,P4VP |
| h-BN剥离 | 液相剥离 |
1. 预分散: h-BN与P4VP在NMP中混合,高速剪切 (5000 rpm, 1 h)。 2. 微射流均质化: 使用微射流均质机,在 190 MPa 下循环 5 次。 ![]() 3. 后处理: 离心、洗涤、冷冻干燥得到 e-hBN 粉末。 |
| 复合材料制备 | 熔融共混 |
1. 预混合: 使用 声学共振混合器 将填料与PP颗粒混合。 2. 熔融挤出: 使用 双螺杆挤出机 进行熔融共混。 3. 热压成型: 使用 压片机 热压成标准测试片材。 |
| 表征与测试 | 性能评估 |
- 结构与形貌: XRD, SEM, 3D XRM - 热性能: TGA, DSC (OIT), 导热系数 - 机械性能: 拉伸测试 - 氧化稳定性: FTIR (羰基指数CI) |
五、结果与讨论
h-BN 增强 PP 复合材料的表征
该研究采用系统方法制备了h-BN增强聚丙烯复合材料。首先通过微射流均质化技术对h-BN进行液相剥离,SEM和XRD表征共同证实成功获得了层间距增大、厚度减小的剥离型h-BN纳米片。为实现填料在基体中的理想分散,研究采用共振声学混合器将e-hBN纳米片预先包覆于PP颗粒表面,再通过熔融挤出完成复合。该制备策略通过优化分散工艺,为获得性能优异的复合材料奠定了基础。

确保 h-BN 纳米片的有效剥离和均匀分散,采用了利用微射流均质机的液相剥离工艺。该方法依靠施加强烈的剪切力和高压,有效地克服了本体 h-BN 层之间的强大范德华力。h-BN 悬浮液在高速下被迫穿过狭窄的间隙,产生将厚层分离成薄纳米片所需的极端湍流和剪切应力。所得剥落的纳米片显示出稳定的白色悬浮液,直观地证实了成功的剥离。

使用扫描电子显微镜(SEM)进一步验证了剥落过程,如图 2b 所示。图像显示,块状 h-BN 由厚厚的堆叠层组成,而剥离的 h-BN 纳米片则表现出显着减小的厚度和增加的横向尺寸。这种形态转变增强了 h-BN 纳米片的表面积,促进了与 PP 基体更好的界面相互作用,并有助于改善复合材料的性能。X 射线衍射(XRD)分析提供了成功去角质的额外证据(图 2c)。块状 h-BN 的 XRD 图谱在 26.8、41.7、43.9、50.2 和 55.2°的 2θ值处显示出特征衍射峰,分别对应于六方相 h-BN 的(002)、(100)、(101)、(102)和(004)平面, 观察到(002)峰强度的显着降低,并伴有峰展宽。这些变化表明沿 C 轴的层堆叠减弱,证实了 h-BN 层的分离。 此外,(002)峰向 26.3°偏移,间距(d002)为 0.35 nm,表明层间分离增加,验证了剥离的 h-BN 纳米片的成功生产。

用剥离的 h-BN(e-hBN)纳米片增强的聚丙烯(PP)复合材料的制备涉及两个关键步骤,如图 3 所示。在第一步中,使用共振声学混合器将 e-hBN 纳米片均匀地涂覆在 PP 颗粒上(图 3a)。声学混合器产生的高频声波产生快速振动,使 e-hBN 纳米片能够均匀分散并有效粘附到 PP 颗粒表面上。此步骤至关重要,因为它可以确保纳米片在后续加工过程中均匀分布在聚合物基体内,从而增强复合材料的整体均匀性和性能。在第二步中,对 h-BN 涂层的 PP 颗粒进行熔融挤出工艺(图 3b)。在此过程中,混合物被加热以熔化 PP,促进纳米片与聚合物基质的彻底混合。这种方法不仅确保了 e-hBN 的均匀掺入,而且还促进了填料和聚合物之间的牢固界面结合。

h-BN 增强 PP 复合材料的力学性能
与抗冲共聚物 PP (IP) 相比,纯 HP 表现出优异的拉伸强度(30.42 ± 1.5 MPa),这归功于其更高的结晶度。然而,HP 表现出较低的伸长率和韧性,突出了其刚度,但延展性降低。堆叠 h-BN (hBN-HP) 的添加导致拉伸强度和韧性降低,这主要是由于 h-BN 颗粒的团聚,h-BN 颗粒充当应力集中器并阻碍应力传递。

相反,剥落的 h-BN(e-hBN-HP)的掺入显著提高了抗拉强度(32.88 ± 0.45 MPa,提高了 14.3%;p = 0.03)和韧性(1 MPa±11.73,提高了 11.6%;p = 0.07)。这些增强归因于 e-hBN 纳米片在聚合物基质中的均匀分散,从而实现高效的应力传递,正如 XRM 成像所证实的那样(图 S1)

相比之下,由于基体中的橡胶状乙烯结构域,与 HP 相比,IP 样品表现出更高的伸长率和韧性。然而,堆叠 h-BN(hBN-IP)的掺入显著降低了伸长率和韧性,这可能是由于填料分散性差和填料-基体界面相互作用弱造成的。剥落的 h-BN(e-hBN-IP)的掺入也导致 IP 样品的伸长率和韧性降低,尽管与堆叠的 h-BN 相比,这种降低不太明显。这些观察结果表明,e-hBN-IP 复合材料力学性能的有限改善源于 IP 基体和 h-BN 纳米片之间的界面相互作用欠佳,以及 IP 基体的固有异质性。这一趋势与 Chan 等人报告的研究结果一致,他们观察到添加 10%、15%和 20%h-BN 后机械性能的变化可以忽略不计。

因此,通过加入剥离的 h-BN 纳米片,特别是在均聚 PP 中,可以显著提高 PP 复合材料的力学性能。观察到的抗拉强度和韧性的增强归因于剥落的 h-BN 实现的均匀分散和有效的应力传递。优化分散技术和增强填料-基体相互作用可以进一步提高这些复合材料的机械性能,特别是在具有更复杂结构的基质中,如冲击共聚物 PP。将本研究开发的复合材料的力学性能与 h-BN 增强 PP 复合材料的文献报道进行了比较( 表 3)。 e-hBN 增强 HP 复合材料 (e-hBN-HP) 所实现的拉伸强度和韧性具有竞争力,证明了剥离 h-BN 在提高复合材料性能方面的有效性。

h-BN 增强聚丙烯复合材料的热性能
采用热重分析(TGA)和衍生热重分析(DTGA)研究了 h-BN 增强聚丙烯(PP)复合材料的热稳定性。图 5a 显示了 h-BN 和脱落的 h-BN(e-hBN)的 TGA 曲线,表明 h-BN 本身具有优异的热稳定性,重量损失不到 1%。
e-hBN 样品表现出较小的重量损失,这归因于残留的聚(4-乙烯基吡啶)(P4VP),在 e-hBN 制备过程中用作分散剂。然而,尽管 h-BN 具有较高的热稳定性,但添加 h-BN 后 PP 的热分解没有明显改善,如图 5b,c 所示。纯 HP、h-BN-HP 和 e-hBN-HP 样品的分解温度约为 450 °C,降解速率相似。在 h-BN-IP 样品中观察到类似的趋势,因此图 S2 提供了这些样品的 TGA 和 DTGA 数据。这表明,h-BN 的添加不会显着改变 PP 基体的热分解行为,尽管 h-BN 的存在有助于在较高温度下保持复合材料的结构完整性。

通过 DSC 测量来分析 PP 复合材料的结晶度和熔融特性。结晶度百分比的计算公式为: 其中 是 PP 样品的熔融热,是纯结晶 PP 的熔融热(207 J/g)。 纯 HP 和 IP 的结晶度百分比分别为 35.3%和 31.5%,两种样品的熔峰均在 163 °C 时观察到(图 6a)。HP 和 IP 之间的结晶度差异与其机械性能相关,其中 HP 具有较高的结晶度,表现出更高的强度,而 IP 较低的结晶度有助于增强其延展性。尽管在 PP 复合材料中添加了 h-BN,但 PP 的热性能没有明显改善,表明 h-BN 增强对聚合物基体的结晶度或熔融特性没有显著影响,如表 3 所示。

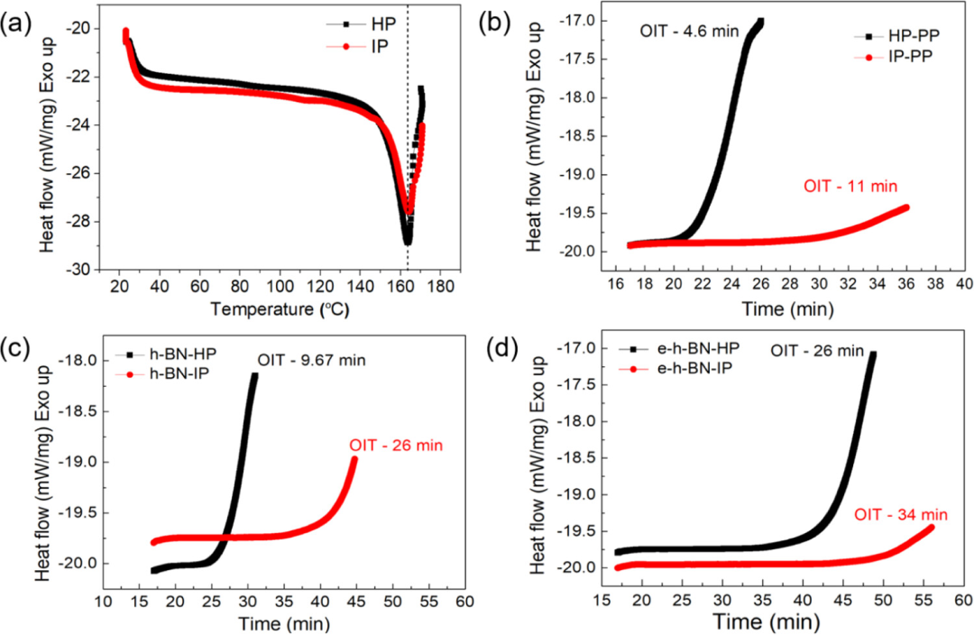
测量氧诱导时间(OIT)以评估 PP 复合材料的氧化热稳定性(图 S3)。

OIT 值在 180 °C 时测定,因为 200 和 220 °C 的 OIT 值由于值小于 1 min 而不切实际。对于纯 HP 和 IP,OIT 值分别为 4.6 分钟和 11 分钟(图 6b)。添加 h-BN 使 h-BN-HP 的 OIT 增加到 9.67 分钟,h-BN-IP 的 OIT 增加到 26 分钟(图 6c)。观察到脱落的 h-BN 进一步增强,导致 e-hBN-HP 的 OIT 值为 13 分钟,e-hBN-IP 的 OIT 值为 34 分钟(图 6d)。这些结果表明,添加六方氮化硼(h-BN),特别是其剥离形式(e-hBN)的添加,显着提高了聚丙烯(PP)复合材料的氧化稳定性和热性能。在 h-BN 和 e-hBN 增强的 PP 样品中观察到的氧化诱导时间(OIT)的增加表明,h-BN 是氧扩散的有效屏障,从而延缓了氧化的开始。e-hBN 在 PP 基质中的更好分散进一步增强了这种保护作用,与未剥落的样品相比,e-hBN-HP 和 e-hBN-IP 样品的 OIT 值更高就证明了这一点。这种氧化稳定性的提高部分归因于 h-BN 的高导热性,从而增强了复合材料的散热性能。除了 OIT 测量外,导热系数测量还可以为复合材料的热性能提供重要见解。导热 h-BN 的加入提高了 PP 基体的导热性,有助于更好的散热。 e-hBN 增强复合材料表现出更高的导热性(图 7),这可能是由于 e-hBN 在 PP 基体中的卓越分散性,增强了复合材料的散热性能

通过热老化研究评估复合材料的抗氧化性,其中 HP 和 IP 样品均在 120 °C 下放置 250 和 500 h,以模拟长期热暴露。为了监测氧化产物的形成,特别是羰基(-C═O)基团,采用傅里叶变换红外(FTIR)光谱。
FTIR 光谱(图 8a)显示羰基在 1700–1780 区域的特征吸收峰,这表明聚合物氧化。 羰基指数(CI)是评估聚合物样品氧化程度的有效指标,计算为羰基峰(1700-1780 )的强度与参比峰(2730 )的强度之比。正如预期的那样,纯 HP 和 IP 样品的热老化导致羰基峰强度显着增加,羰基指数 (CI) 显示出明显的上升。对于 HP 样品,CI 值在 250 h 后从 0.12(纯)增加到 1.14,在老化 500 h 后增加到 1.17,表明大量氧化。同样,对于 IP 样品,CI 值在 250 h 后从 0.18(纯)增加到 1.0,在 500 h 后从 1.25 增加到 1.25,表明随着时间的推移发生了相当大的氧化。然而,在 PP 基质中添加 h-BN 纳米片显著提高了抗氧化性,与没有 h-BN 的热老化样品相比,h-BN 和剥离的 h-BN(e-hBN)增强的 HP 和 IP 样品的 CI 值较低。FTIR 结果进一步支持了 OIT 研究的结果,证实添加 h-BN 纳米片,无论是非剥落还是剥离,都增强了 PP 复合材料的抗氧化性。与不含 h-BN 的热老化 PP 样品相比,h-BN 增强样品的 CI 值较低,表明氧化程度有所降低。这表明 h-BN 纳米片,尤其是剥落的纳米片的掺入,提高了材料在热老化条件下的抗氧化性。

六、结论
本研究成功证实,剥离的六方氮化硼(e-hBN) 作为一种高性能纳米填料,能显著提升聚丙烯(PP)复合材料的综合性能。其核心结论如下:
-
制备与分散是关键:采用微射流均质法成功制备了e-hBN,并通过声学混合与熔融挤出相结合的工艺,实现了e-hBN在PP基体中的均匀分散,这是性能提升的基础。
-
机械性能显著提升(尤其在HP中):在均聚PP(HP) 中,e-hBN的加入实现了强度与韧性的同步增强。而在抗冲共聚PP(IP)中,因基体本身结构复杂,机械性能改善有限。
-
热氧化稳定性大幅提高:e-hBN的加入显著延长了材料的氧化诱导时间(OIT),并有效降低了热老化后的羰基指数(CI)。这表明e-hBN能作为物理屏障,有效阻碍氧气扩散,延缓PP的氧化降解。
-
导热性得到改善:e-hBN在PP基体中形成了更有效的导热通路,使复合材料的热导率得以提升。
-
热分解行为未受显著影响:填料的加入并未改变PP本身的热分解温度,表明其主要是通过物理作用提升稳定性,而非改变聚合物的化学降解机理。
微射流均质处理整体解决方案



上一篇:无
下一篇:微纳米混悬液制备中自上而下与自下而上方法的比较研究


